If you have a fifth grader who needs extra practice with math, printable addition sheets can be a great resource. These sheets are a fun and interactive way to reinforce math skills and help your child build confidence in their abilities.
With a variety of problems ranging from basic addition to more complex multi-digit addition, these printable sheets cater to different skill levels and learning styles. You can easily print them out at home and use them as a supplement to your child’s regular math curriculum.
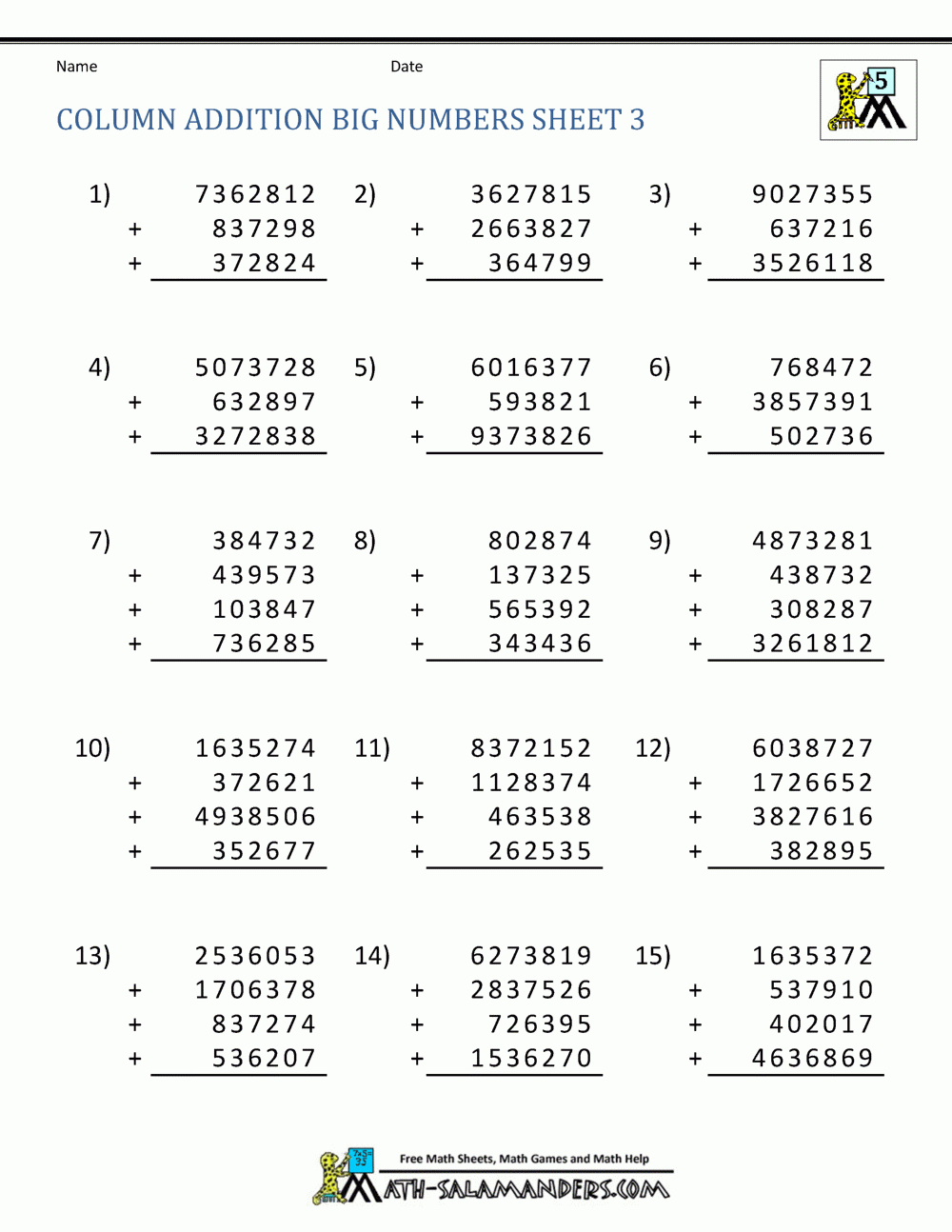
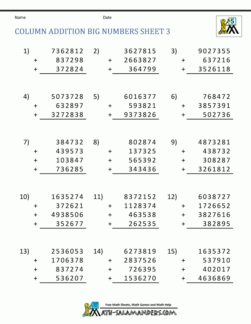
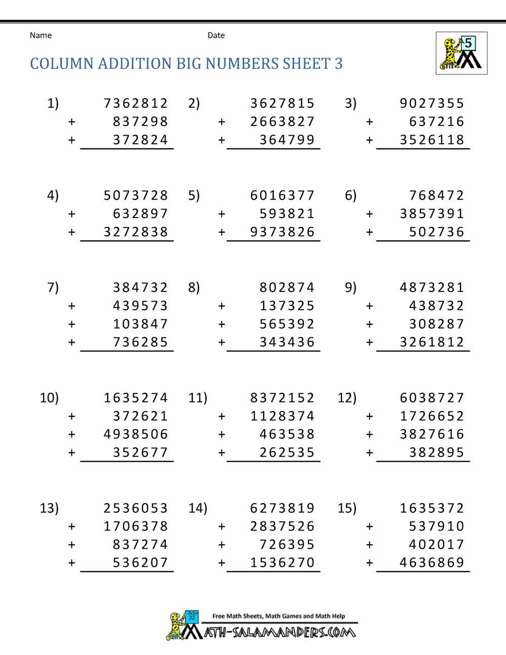
Fifth Grade Math Sheets Addition Printable
Fifth Grade Math Sheets Addition Printable
One of the benefits of using printable math sheets is that they provide a hands-on approach to learning. Your child can physically write out the problems and solve them, which can help improve their understanding of mathematical concepts.
Additionally, printable math sheets are a convenient option for busy parents. You can easily access and print them whenever your child needs extra practice, whether it’s after school, on weekends, or during school breaks.
By incorporating printable math sheets into your child’s routine, you can make math practice more engaging and enjoyable. Your child will have the opportunity to work on their math skills in a relaxed and stress-free environment, helping them feel more confident in their abilities.
Overall, printable math sheets are a valuable tool for reinforcing math skills and helping your child succeed in the classroom. Whether your child needs extra practice or just enjoys math, these sheets can provide a fun and effective way to learn and grow as a student.
So next time your fifth grader needs some extra math practice, consider using printable addition sheets to help them sharpen their skills and boost their confidence. With a little bit of time and effort, you can make math practice enjoyable and rewarding for your child.
Free 5th Grade Math Worksheets Printable W Answers Mashup Math
5th Grade Addition Worksheets


